- Информация
- О школе
- Мероприятия
- Школьникам
- Родителям
- Питание
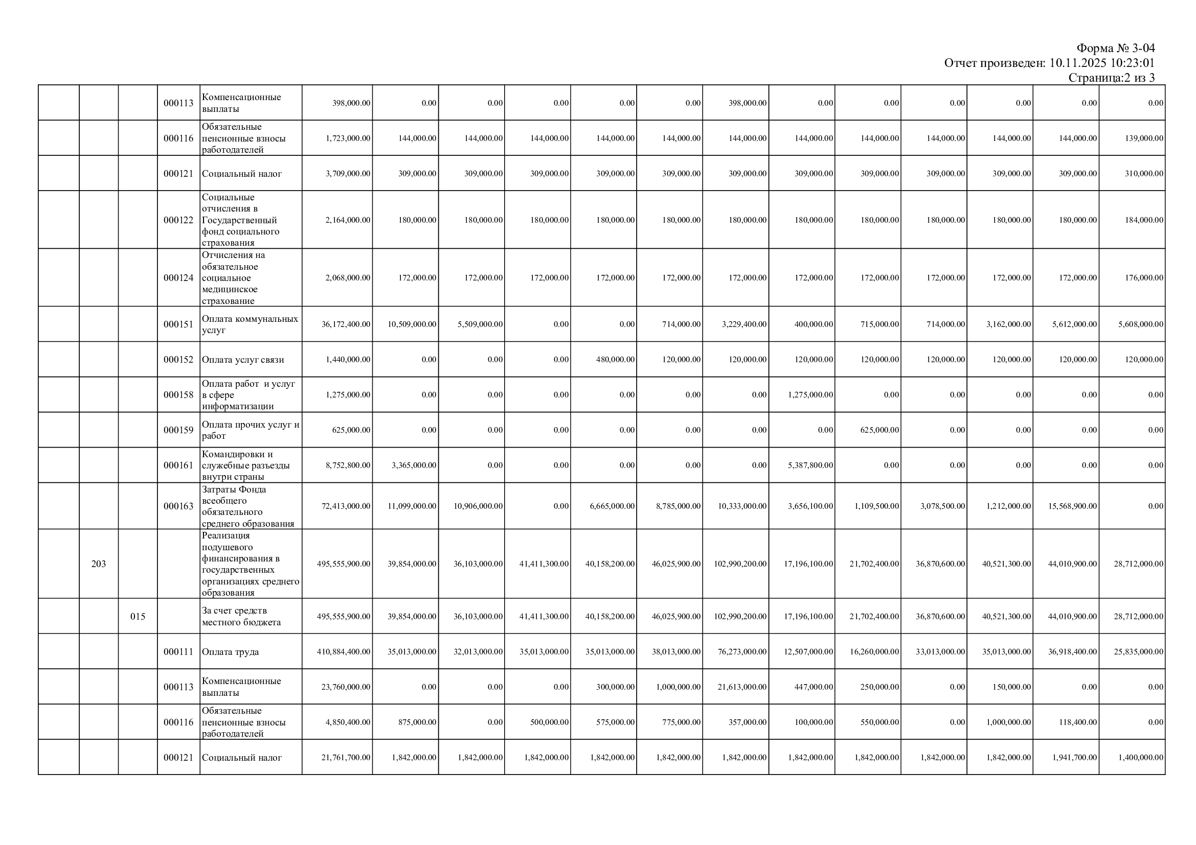
- Открытый бюджет
- Открытый орган
- Аттестация школы
- ПИЗА
- ПЛАН ПОДГОТОВКИ К МОДО 2022 - 2023 УЧЕБНЫЙ ГОД
- СОЦИАЛЬНЫЙ ПАСПОРТ
- КУРСЫ ПОВЫШЕНИЯ КВАЛИФИКАЦИИ
- ВАРИАТИВ 5-11 КЛАСС
- РУКОВОДИТЕЛЬ ОТДЕЛА ОБРАЗОВАНИЯ, ЗАМЕСТИТЕЛИ РУКОВ
- ГРАФИК ПРОВЕДЕНИЯ И АНАЛИЗ СОР И СОЧ
- РАБОТА С ОДАРЕННЫМ УЧЕНИКАМ
- ПЛАН РАБОТЫ ОБРАЗОВАТЕЛЬНОЙ ОРГАНИЗАЦИИ
- ПОДГОТОВИТЕЛЬНАЯ ГРУППА ВАРИАТИВ
- КАЧЕСТВО ЗНАНИЙ
- ДЕТИ С ООП И ОБУЧЕНИЕ НА ДОМУ
- НАЧАЛЬНЫЙ КЛАСС ВАРИАТИВ
- МОЛОДОЙ СПЕЦИАЛИСТ
- ПРОГРАММА РАЗВИТИЯ
- ДЕФЕКТОЛОГ
- РАБОТА УЧИТЕЛЯ ПРОФОРИЕНТАЦИИ
- РАБОТА БИБЛИОТЕКИ
- ДОКУМЕНТЫ В СТРОГОМ УЧЕТЕ
- ПРАВИЛА ДОРОЖНОГО ДВИЖЕНИЯ
- ИТОГОВАЯ АТТЕСТАЦИЯ
- УЧЕБНО-МЕТОДИЧЕСКАЯ РАБОТА
- ПЕРСПЕКТИВНЫЙ ПЛАН ПО КУРСУ ПОВЫШЕНИЯ КВАЛИФИКАЦИИ
- КРУЖОК
- "АДАЛ ҰРПАҚ", "ЖАС ҰЛАН"
- РАБОТА ВОЖАТОГО
- ТРУДОУСТРОЙСТВО ВЫПУСКНИКОВ
- ПРЕДШКОЛЬНАЯ ПОДГОТОВКА
- ЛЕТНИЙ ЛАГЕРЬ
- ДОСТИЖЕНИЯ УЧИТЕЛЕЙ
- КОНТИНГЕНТ УЧАЩИХСЯ
- ОСНОВЫ БЕЗОПАСНОСТИ ЖИЗНЕДЕЯТЕЛЬНОСТИ
- ПЕДАГОГИЧЕСКИЕ КАДРЫ
- ПСИХОЛОГИЧЕСКАЯ РАБОТА
- РАСПИСАНИЕ ЗАНЯТИЙ
- СПИСОК ТАРИФИКАЦИИ
- ТИТУЛЬНЫЙ ЛИСТ
- РАСПИСАНИЕ ОБУЧЕНИЕ НА ДОМУ
- ИНФОРМАЦИЯ О КОЛИЧЕСТВЕ ШТАТНЫХ ЕДИНИЦ
- ПЛАН РАБОТЫ ПО ПОДГОТОВКЕ К ЕНТ
- АЛФАВИТНАЯ КНИГА
- ПРИЛОЖЕНИЯ
- ПЕРСПЕКТИВНЫЙ ПЛАН ПО АТТЕСТАЦИИ ПЕДАГОГОВ
- ПИСЬМО ЗАПРОС
- РАБОТА ПОПЕЧИТЕЛЬСКОГО СОВЕТА
- ДОПОЛНИТЕЛЬНОЕ ОБРАЗОВАНИЕ
- САМОАНАЛИЗ
- УЧРЕДИТЕЛЬНЫЕ ДОКУМЕНТЫ
- ВОСПИТАНИЕ
- ПЛАНЫ РАБОТЫ И УЧЕБЫ
- ОХВАТ ГОРЯЧИМ ПИТАНИЕМ
- Контакты
Мектеп сайты » Открытый бюджет » Индивидуальный план финансирования » Индивидуальный план финансирования по платежам - июнь 2025год












